Ответы
Ответ дал:
0
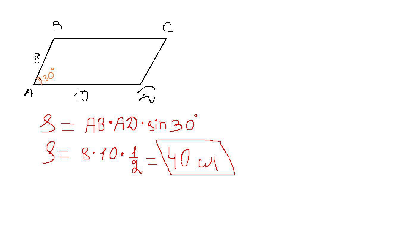
вот полное решение с рисунком
Приложения:

Ответ дал:
0
можете дать лучший:)
Вас заинтересует
2 года назад
2 года назад
7 лет назад
7 лет назад
10 лет назад