• Предмет: Алгебра
  • Автор: Аноним
  • Вопрос задан 10 лет назад

ПОМОГИТЕ АЛГЕБРА 7КЛАСС

Приложения:

Ответы

Ответ дал: prostotom
0
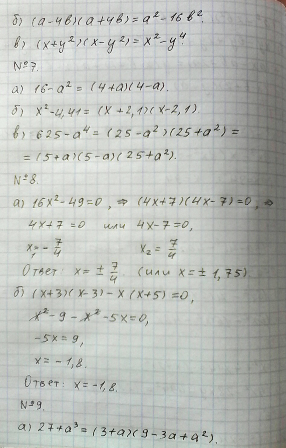
Решение задания на фото.
Приложения:
Ответ дал: Аноним
0
Спасибо а дальше?
Ответ дал: prostotom
0
В файле 12 заданий - все решил.
Ответ дал: Аноним
0
У тебя на фотке только 2 задания решены
Ответ дал: prostotom
0
В каком это смысле? Прикреплено 4 фото - на них все 12 заданий.
Ответ дал: Аноним
0
СПАСИБО ТЕБЕ БОЛЬШОЕ , Я ПРОСТО С ТЕЛЕФОНА СИДЕЛ , И У МЕНЯ ПОКАЗЫВАЛО ТОЛЬКО 1 ФОТОГРАФИЮ. ИЗВИНИ
Вас заинтересует