KIO3+HI=I2+KI+H2O
используя метод электронного баланса,расставьте коэффиценты и определите окислитель и восстановитель
Ответы
Ответ дал:
0
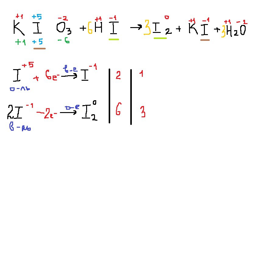
1. Смотри вложения, я расставила степени окисления (с.о.)
У простых веществ всегда с.о. = 0
У кислорода всегда = - 2
В сумме степени окисления = 0 ( считала у первого, голубым обозначила то, что считала)
Остальные я смотрела по таблицам в учебнике.
2. Коричневым и салатовым подчеркнула элементы, которые поменяли с.о. (ведь ОВР - изменение с.о)
3. Восстановитель повышает с.о ( процесс окисление)
Окислитель понижает с.о. (процесс восстановление)
Посчитала и сократила, подставила в формулу. В целом это все ( если что у простого вещества йод всегда двойка, поэтому я у восстановителя подписала ее)
У простых веществ всегда с.о. = 0
У кислорода всегда = - 2
В сумме степени окисления = 0 ( считала у первого, голубым обозначила то, что считала)
Остальные я смотрела по таблицам в учебнике.
2. Коричневым и салатовым подчеркнула элементы, которые поменяли с.о. (ведь ОВР - изменение с.о)
3. Восстановитель повышает с.о ( процесс окисление)
Окислитель понижает с.о. (процесс восстановление)
Посчитала и сократила, подставила в формулу. В целом это все ( если что у простого вещества йод всегда двойка, поэтому я у восстановителя подписала ее)
Приложения:

Ответ дал:
0
окислитель: 2l(5+)+10e=l2(0)
восстановитель:2l(-)-2e=l2(0)
kio3+6hi=3i2+ki+3h20
восстановитель:2l(-)-2e=l2(0)
kio3+6hi=3i2+ki+3h20
Приложения:

Вас заинтересует
9 лет назад
9 лет назад
10 лет назад