• Предмет: Алгебра
  • Автор: super1997
  • Вопрос задан 11 лет назад

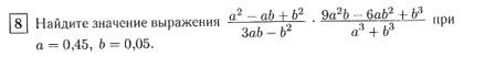
Алгебра, 8 класс

заранее спасибо

Приложения:

Ответы

Ответ дал: marinka31
0

а²-ав+b²/3ab-b²· 9a²b-6ab²+b³/a³+b³=а²-ав+b²/b(3a-b)·b(9a²-6ab+b²/(a+b)(а²-ав+b²)=1/3a-b·(3a-b)²/a+b=3a-b/a+b    3·0,45-0,05/0,45+0,05=1,3/0,5=2,6

Вас заинтересует