• Предмет: Алгебра
  • Автор: FaceBookEr
  • Вопрос задан 10 лет назад

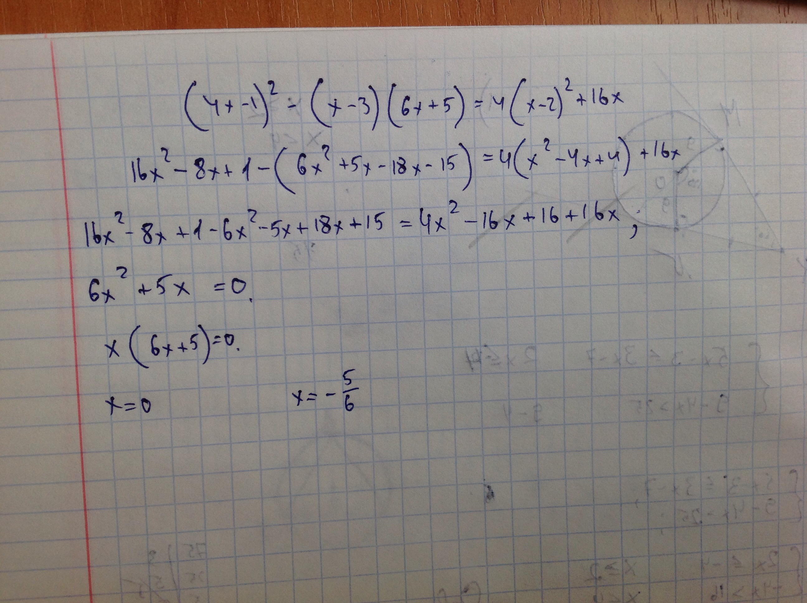
РЕШИТЕ УРАВНЕНИЕ, 10 БАЛЛОВ
(4x-1)^2-(x-3)(6x+5)=4(x-2)^2+16x

Ответы

Ответ дал: 7Учитель7
0
Держи брат, проверь раскрытие скобок
Приложения:
Ответ дал: FaceBookEr
0
Cябки :3
Вас заинтересует