Решите ПОЖАЛУЙСТА!!!
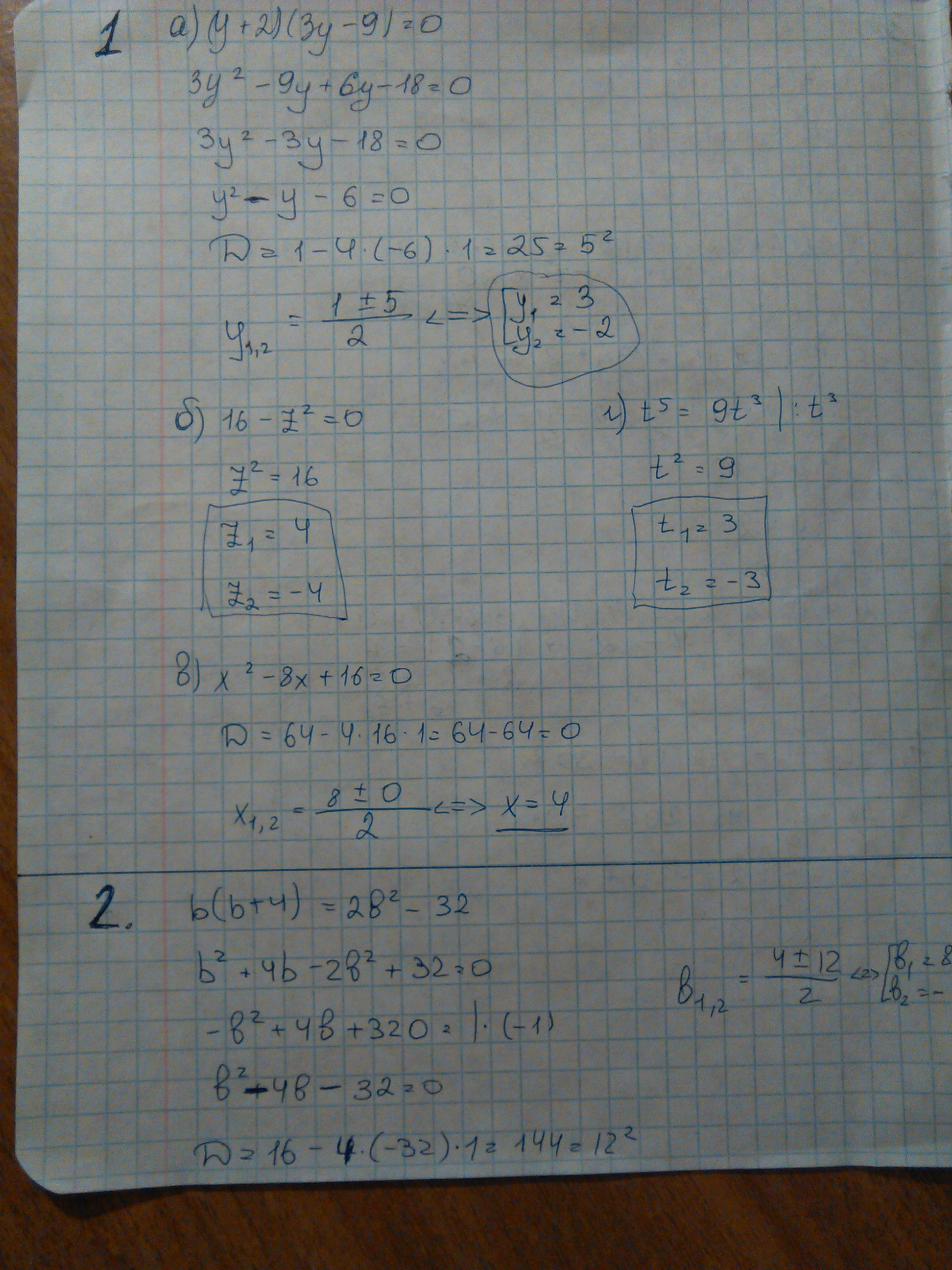
1. Решите уравнение:
a) (y+2) (3y-9)=0; в) x в квадрате-8x+16=0
б) 16-z в квадрате=0 г) t в пятой степени=9t в кубе
2. При каких значениях b равны значения выражений
b(b+4) и 2b в квадрате - 32?
3. Решите уравнение и сделайте проверку:
а) -3* (x-2)+4x=11;
б)2y-(4-y)+(3y-2)=y+4
Решите уравнение 3*(x-4)-4*(x+5)=-30+x
Ответы
Ответ дал:
0
сюда писать много, так что...
Приложения:
Вас заинтересует
3 года назад
8 лет назад
8 лет назад
10 лет назад
10 лет назад
10 лет назад
10 лет назад