Ответы
Ответ дал:
0
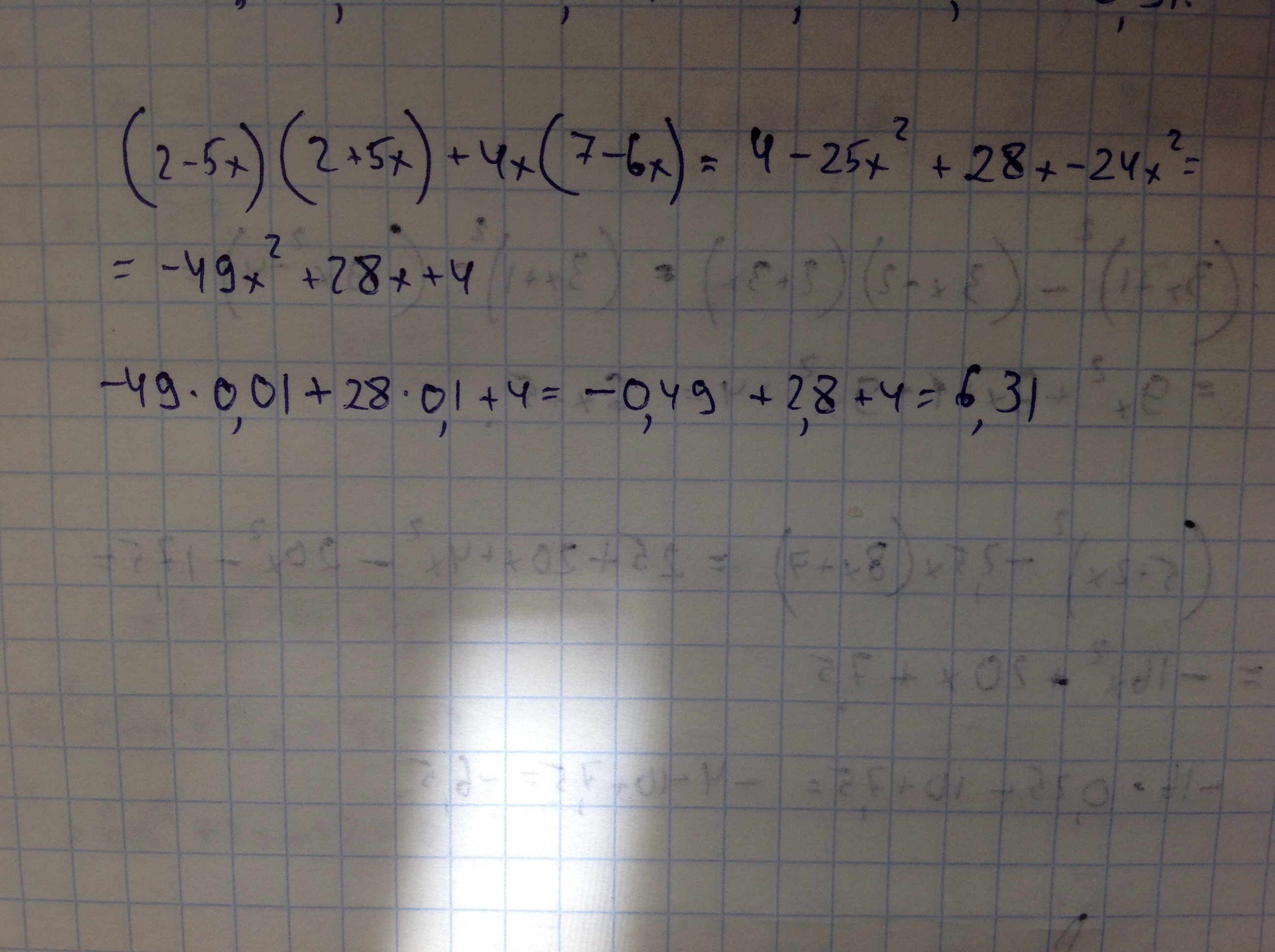
Перепроверь тогда) первые скобки это как разность квадратов вроде называется (а-в)(а+в)=а^2-в^2
Приложения:

Ответ дал:
0
спасибо)
Ответ дал:
0
=4+10x-10-25x+28x-24x(в квадрате)=-6+13x-24x( в крадрате)
Если x = 0,1 то -6+14*0,1-24*0,1(в квадрате)= -7
Если x = 0,1 то -6+14*0,1-24*0,1(в квадрате)= -7
Приложения:

Вас заинтересует
2 года назад
2 года назад
7 лет назад
9 лет назад
10 лет назад
10 лет назад