• Предмет: Алгебра
  • Автор: IFender
  • Вопрос задан 10 лет назад

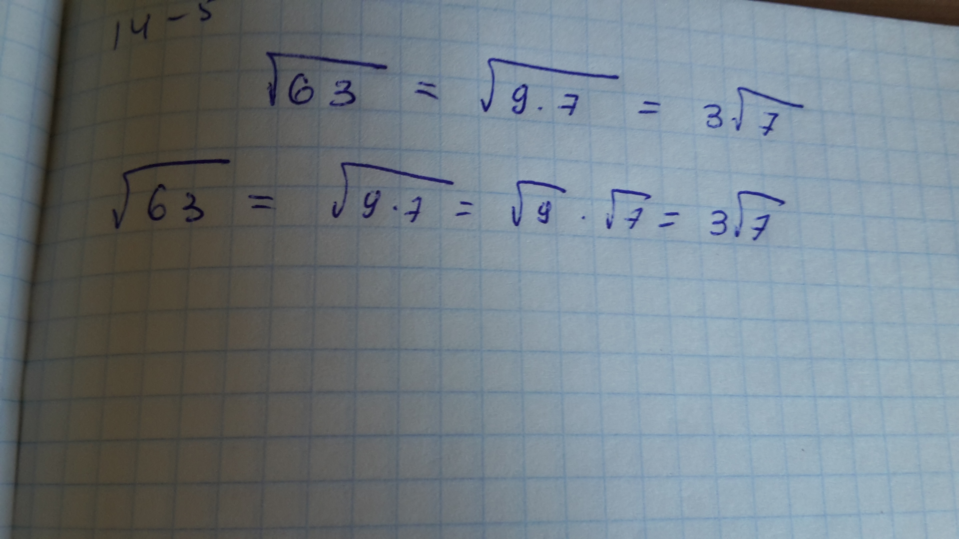
Как извлечь корень из 63? знаю,что ответ 3 корней из 7,но как это сделать? объясните пожалуйста подробно

Ответы

Ответ дал: Новостина
0
63 - это произведение 9 и 7, из 9 корень извлекаем
Приложения:
Ответ дал: IFender
0
а из 175?
Ответ дал: IFender
0
там какое произведение?
Ответ дал: IFender
0
25 и 7
Ответ дал: IFender
0
все понятно0
Ответ дал: Новостина
0
да, все правильно)
Вас заинтересует