• Предмет: Математика
  • Автор: docmails
  • Вопрос задан 10 лет назад

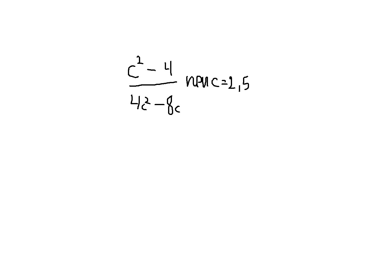
найдите значение дроби

Приложения:

Ответы

Ответ дал: miki68
0
    с²-2²          (с-2)(с+2)                с+2
=  ____   =    _________   =      ______
   4с(с-2)       4с(с-2)                     4с

2,5+2             4,5
_____  =      _____  =  0,45
  4*2,5           10     
Вас заинтересует