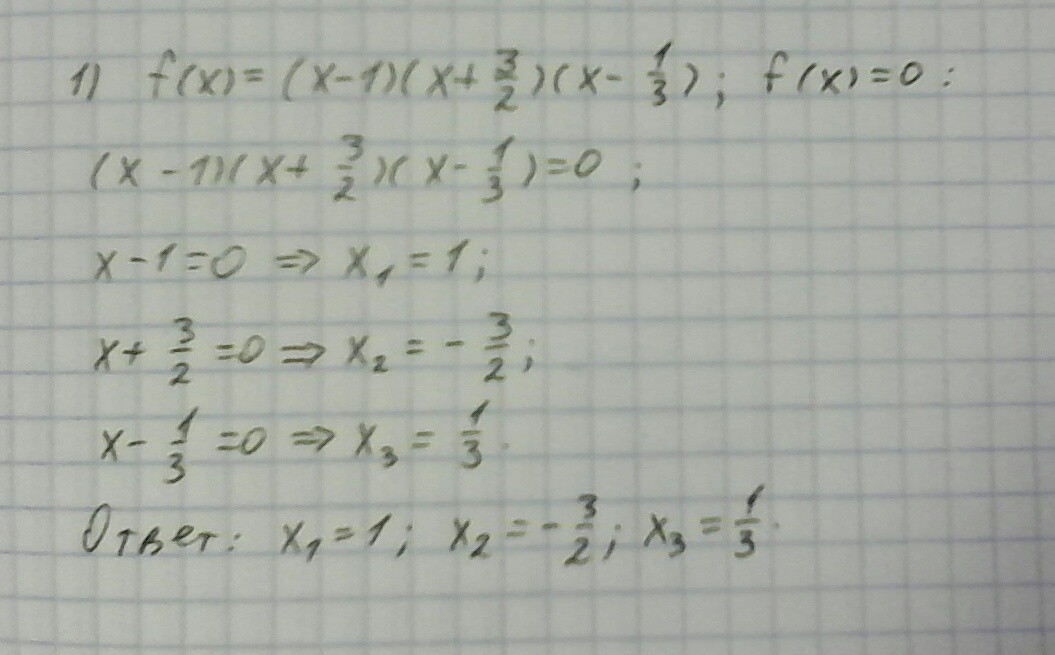
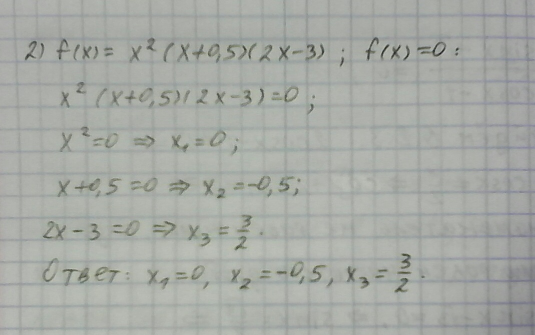
ПОЖАЛУЙСТА даю 22 балла завтра сдавать Найдите нули функции f(x)=(x-1)(x+3/2)(x-1/3) , f(x)=x^2(x+0,5)(2x-3)
Ответы
Ответ дал:
0
Решение задания на фото.
Приложения:


Ответ дал:
0
Спасибо большое!
Ответ дал:
0
Теперь мне все стало понятно.
Ответ дал:
0
На здоровье))
Вас заинтересует
2 года назад
2 года назад
7 лет назад
9 лет назад
9 лет назад
10 лет назад
10 лет назад