• Предмет: Алгебра
  • Автор: NatashaKireenko
  • Вопрос задан 10 лет назад

Как мы это получили?

Приложения:

Ответы

Ответ дал: litanalove
0
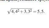
4.4² =19.36
3.3² =10.89

19.36 +10.89 =30.25 =5.5²

корень из (5.5²) =5.5
Вас заинтересует