сумма трех чисел составляющих арифметическую прогресию равна 12 а произведение первого и второго равно 8 найти эти числа
Ответы
Ответ дал:
0
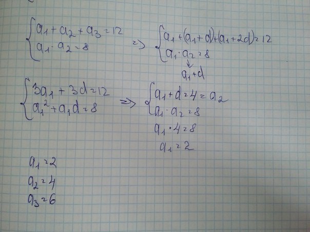
Ответ смотри во вложениях
Приложения:
Ответ дал:
0
Сумма первого и третьего чисел равна удвоенному второму числу. Значит, второе число равно
12:3 = 4.
Тогда первое число равно 8:4 = 2. А третье, соответственно, 4+(4−2) = 6.
Ответ: 2; 4; 6
12:3 = 4.
Тогда первое число равно 8:4 = 2. А третье, соответственно, 4+(4−2) = 6.
Ответ: 2; 4; 6
Приложения:
Вас заинтересует
3 года назад
3 года назад
8 лет назад
8 лет назад
10 лет назад
10 лет назад