Ответы
Ответ дал:
0
ответ во вложениях......
Приложения:

Ответ дал:
0
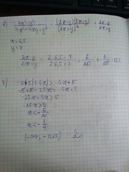
6. (2х-у)(2х+у)дробь
(2х+у)²= 2х-у дробь 2х+у
7. -5+5(1-5х)> -5х+5
-5+5-25х> -5х+5
-20х>5
х< -0,25 -2
(2х+у)²= 2х-у дробь 2х+у
7. -5+5(1-5х)> -5х+5
-5+5-25х> -5х+5
-20х>5
х< -0,25 -2
Приложения:

Вас заинтересует
2 года назад
7 лет назад
7 лет назад
9 лет назад
9 лет назад
10 лет назад
10 лет назад