• Предмет: Алгебра
  • Автор: katyscha00
  • Вопрос задан 10 лет назад

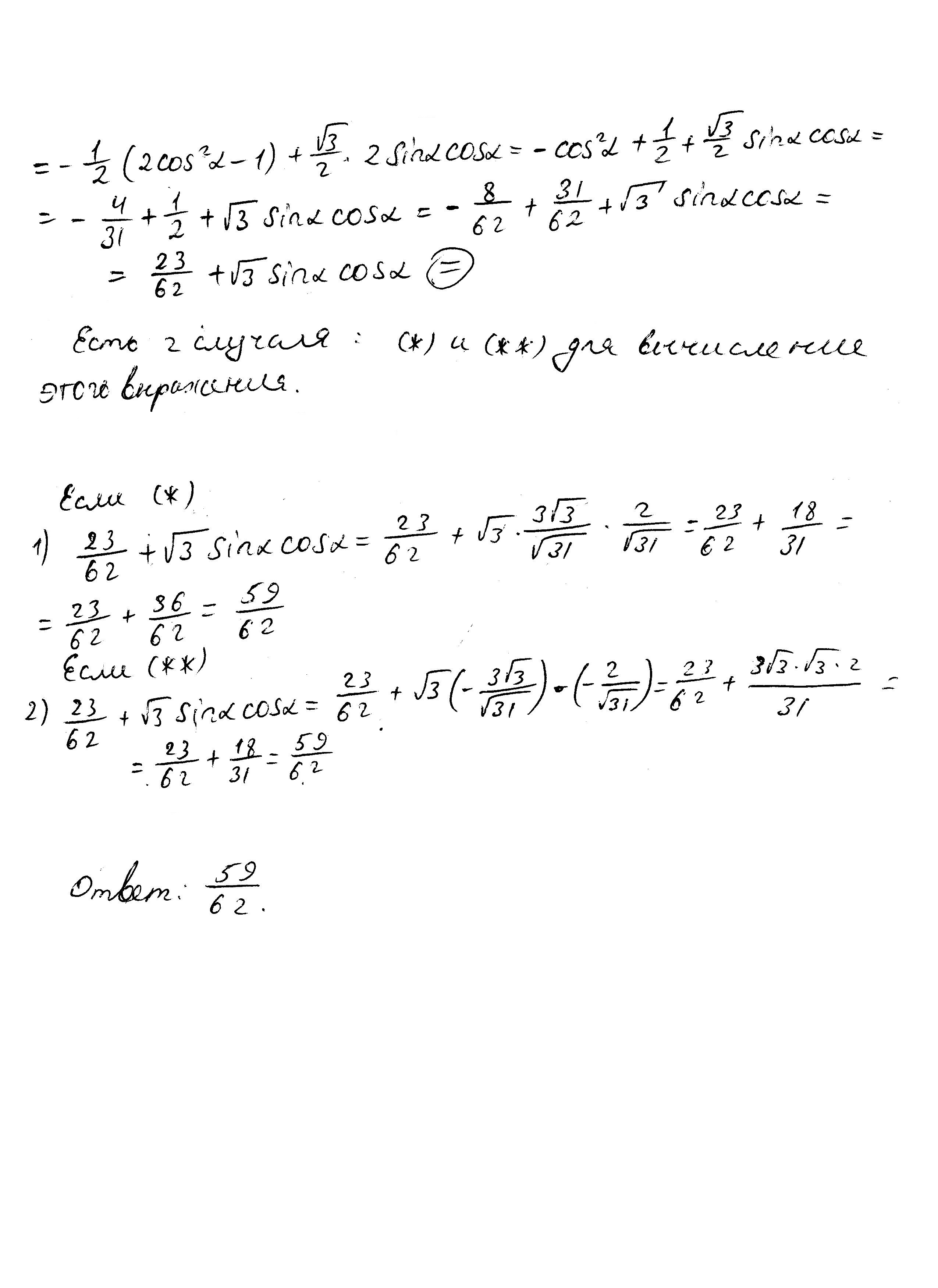
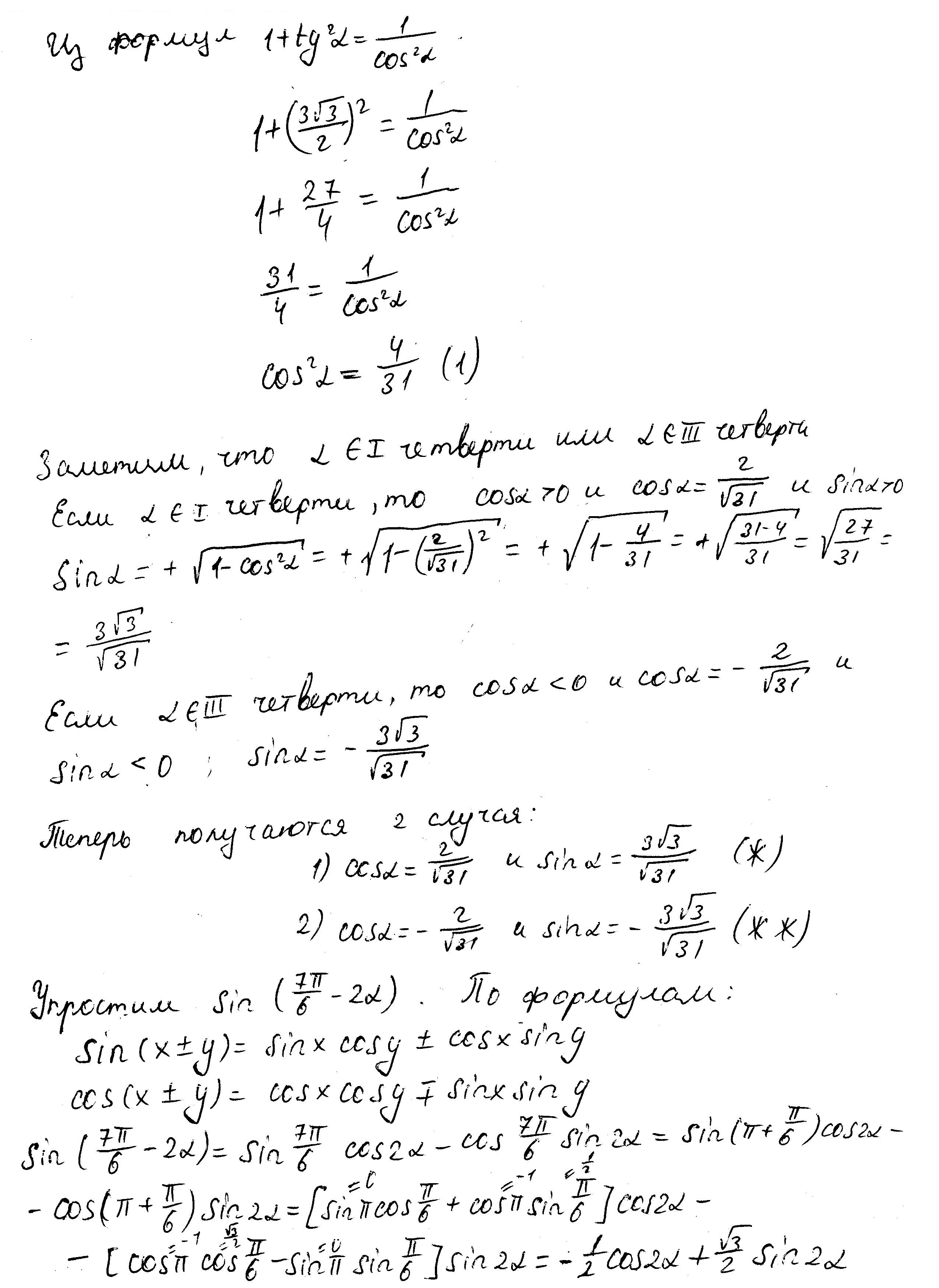
Найдите sin(7пи/6-2а), если tga=(3√3)/2

Ответы

Ответ дал: bearcab
0
Решение в приложении.
Приложения:
Вас заинтересует