теплоход проходит по течению реки до пункта назначения 483 км и после стоянки возвращается в пункт отправления. найдите скорость течения, если скорость теплохода в неподвижной воде равна 22 км/ч, стоянка длится 2 часа, а в пункт отправления теплоход возвращается через 46 часов после отплытия из него.
Ответы
Ответ дал:
0
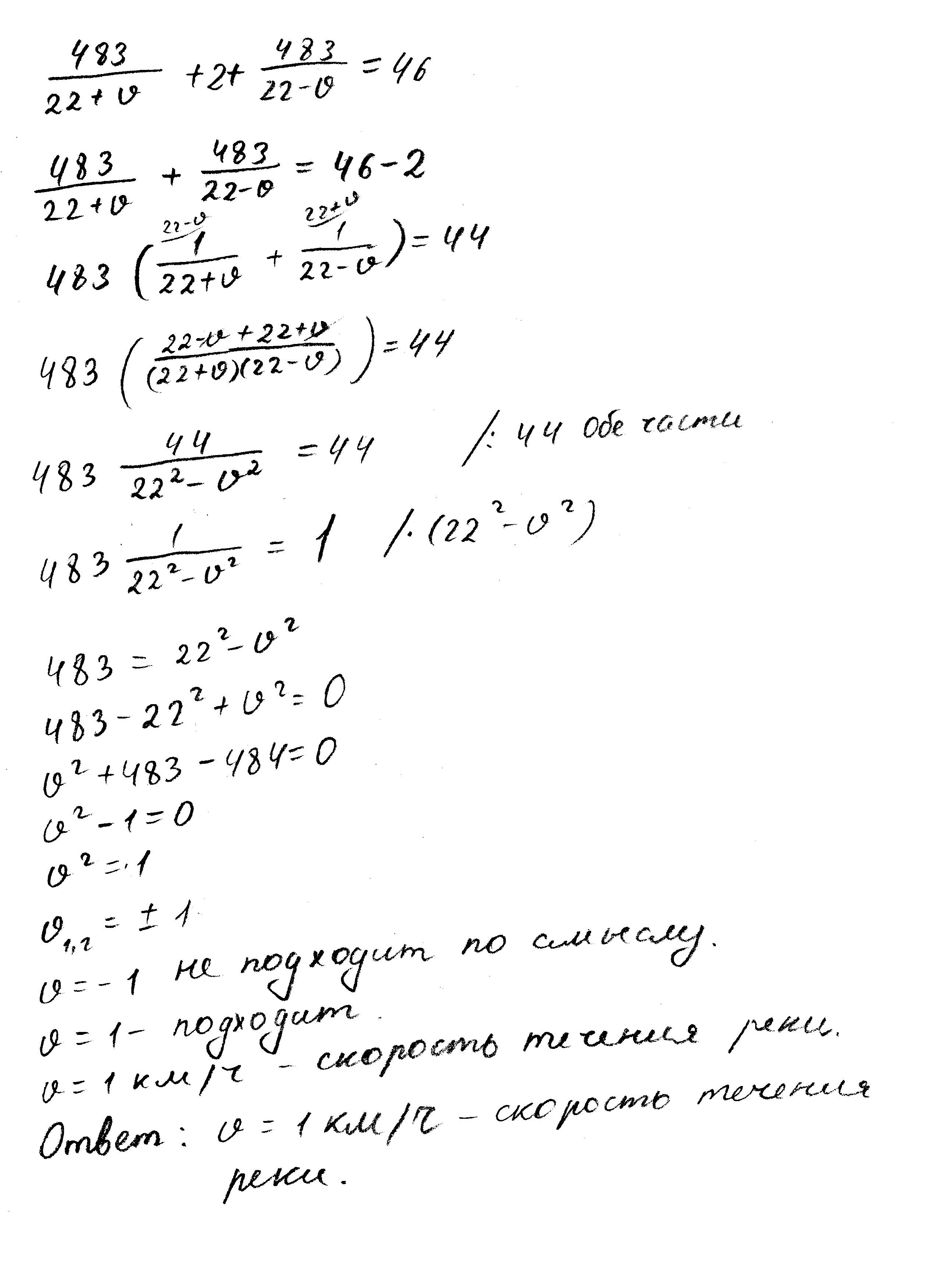
Решение в приложении.
Ответ: 1 км/ч скорость течения реки.
Ответ: 1 км/ч скорость течения реки.
Приложения:
Вас заинтересует
3 года назад
8 лет назад
8 лет назад
11 лет назад
11 лет назад