• Предмет: Литература
  • Автор: nosovadascha20
  • Вопрос задан 10 лет назад

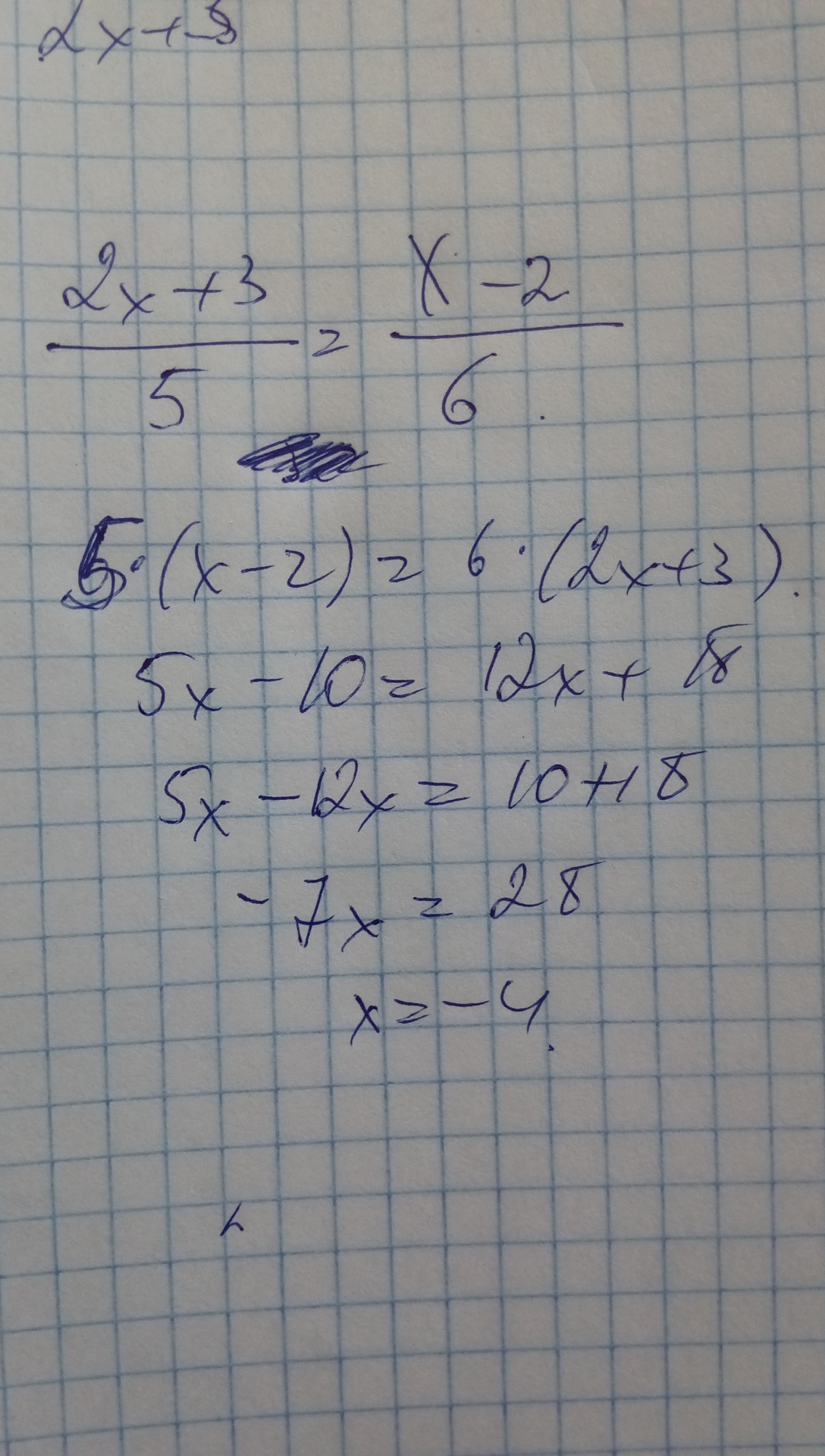
Решите уравнение (2x+3)/5 = (x-2)/6.

Ответы

Ответ дал: Лиза506022
0
Ответ:x= -4
(вдруг не понятно: Ответ : минус четыре. Это написано словами)
Ответ дал: zzzzzz17
0
(2x+3)/5=(x-2)/6
решение на фото
Приложения:
Вас заинтересует