• Предмет: Математика
  • Автор: adeliya56
  • Вопрос задан 10 лет назад

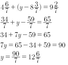
решите уравнение.
4 6/7+(y-8 3/7)=9 2/7

Ответы

Ответ дал: SolRu
0
Решение смотрите в вложении
Приложения:
Вас заинтересует