Ответы
Ответ дал:
0
.........................
Приложения:

Ответ дал:
0
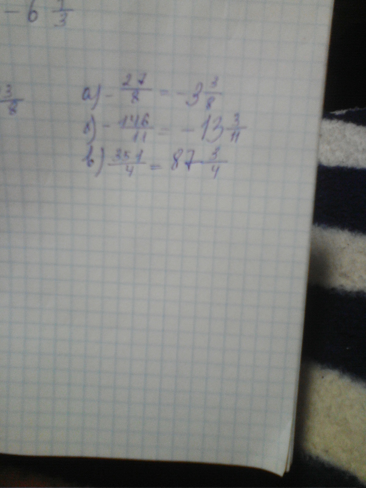
а) -2 7/8=(-23/8)
б) -14 6/11=(-160/11)
в) 35 1/4=141/4
________
это я написала как считается. До знака "/" числитель, а после знаменатель, т.е. (числитель / знаменатель)
а) -2 7/8=(-8×2+7 / 8)=(-23/8)
б) -14 6/11=(-11×14+6 / 11) =(-160/11)
в) 35 1/4=4×35+1 / 4
б) -14 6/11=(-160/11)
в) 35 1/4=141/4
________
это я написала как считается. До знака "/" числитель, а после знаменатель, т.е. (числитель / знаменатель)
а) -2 7/8=(-8×2+7 / 8)=(-23/8)
б) -14 6/11=(-11×14+6 / 11) =(-160/11)
в) 35 1/4=4×35+1 / 4
Приложения:

Вас заинтересует
2 года назад
2 года назад
7 лет назад
7 лет назад
9 лет назад
9 лет назад
10 лет назад