• Предмет: Физика
  • Автор: Фунтик1
  • Вопрос задан 11 лет назад

помогите решить задачи,ответы есть  надо  написать дано,найти,решение и формулу по которой надо решать

1. Найти выталкивающую силу,действующую на медный брусок размером 4х5х15см,если он на 1/3 погружен в керосин?(ответ 0,8H)

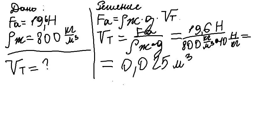
2.Определите объём железного бруска, на который при погружении в спирт действует выталкивающая сила 19,6H(ответ 0,0025м3)

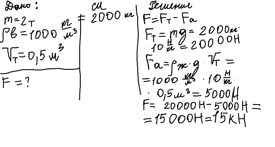
3.Плиту массой 2т поднимают со дна озера.Какую при этом необходимо приложить силу,если объем плиты 0,5м3?(ответ 15kH)

4.Брусок объемом 80см3 плавает на поверхности воды. Определить объем надводной части бруска,если его масса 32г(ответ 48см3)

5.Какого веса радиоаппарату может поднять в воздух радиозонд объемом 10м3, наполненный водородом,если оболочка его имеет массу 600г(ответ 114H)

Ответы

Ответ дал: СatNight
0

Все что смогла.........остальное я не знаяю ....... решила 1 2 и 3 

Приложения:
Вас заинтересует