• Предмет: Алгебра
  • Автор: iraaaaaaa
  • Вопрос задан 11 лет назад

ПОМОГИТЕ! 

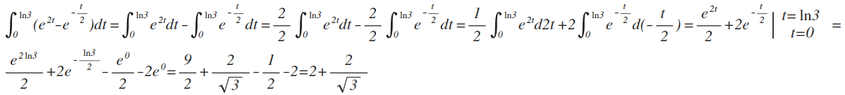
intlimits^{ln3}_0 {(e^{2t}-e^{frac{-t}{2}}}}) , dt

Ответы

Ответ дал: palilov2436
0

решение смотри во вложении

Приложения:
Вас заинтересует