Ответы
Ответ дал:
0
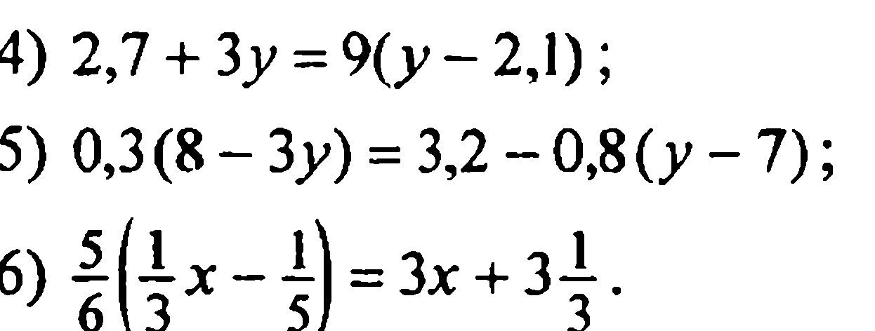
4)2,7+3y=9(y-2,1)
2.7+18.9+6y
6y=21,6
y=3.51
5)0.3(8-3y)=3.2-0.8(y-7)
0.24-0.9y=3.2-0.8y+0.56
-0.1y=3.52
y=-35.2
6)5/6(1/3x-1/5)=3x+10/3
(5/18)x-1/6=3x+10/3
(49/18)x=-7/3
x=-7/2×18/49
x--9/7
2.7+18.9+6y
6y=21,6
y=3.51
5)0.3(8-3y)=3.2-0.8(y-7)
0.24-0.9y=3.2-0.8y+0.56
-0.1y=3.52
y=-35.2
6)5/6(1/3x-1/5)=3x+10/3
(5/18)x-1/6=3x+10/3
(49/18)x=-7/3
x=-7/2×18/49
x--9/7
Ответ дал:
0
огромное спайсибо (ノ*゚ー゚)ノ
Ответ дал:
0
always welcome
Вас заинтересует
3 года назад
3 года назад
8 лет назад
8 лет назад
10 лет назад
10 лет назад
10 лет назад
10 лет назад