• Предмет: Алгебра
  • Автор: r2999
  • Вопрос задан 10 лет назад

Пожалуйста помогите!!
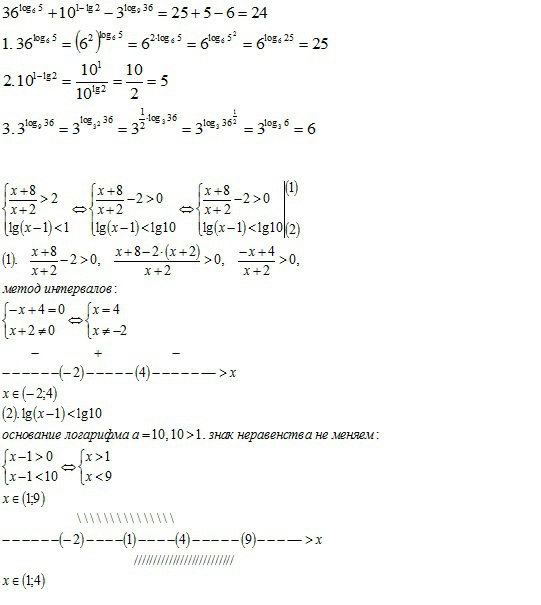
1)  36^{ log_{6}5 } + 10^{1- lg^{2} } - 3^{ log_{9}36 }
2)  256^{ frac{1}{x} } geq 4^{x}
3)  left { {{ 2^{x}* 4^{x}=16 } atop { 5^{3x}- 5^{4y+7} =0 }} right.
4)  left { {{ frac{x+8}{x+2} textgreater  2 } atop {lg(x-1) textless  1}} right.

Ответы

Ответ дал: kirichekov
0
решение во вложении-----------------------
Приложения:
Вас заинтересует