• Предмет: Математика
  • Автор: йцукеныв
  • Вопрос задан 10 лет назад

ПОМОГИТЕ РЕШИТЬ! ДАМ 20 БАЛЛОВ.
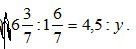
Решите уравнение:

Приложения:

Ответы

Ответ дал: KatrinFox1
0
3=4,5÷у
у=4,5×3
у=13,5
Вас заинтересует