• Предмет: Геометрия
  • Автор: djdjdbr
  • Вопрос задан 10 лет назад

Решите пожалуйста,напишите решения ,а не тупо букву ,Спасибо!

Приложения:

Ответы

Ответ дал: kirichekov
0
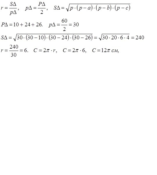
решение во вложении-----------------
Приложения:
Вас заинтересует