• Предмет: Алгебра
  • Автор: mmaxim4444
  • Вопрос задан 10 лет назад

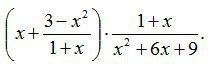
упростите выражение

Приложения:

Ответы

Ответ дал: natali15medved
0
= (x+x²+3-x²)/(1+x)*(1=x)/(x+3)²=((x+3)(1+x))/((1+x)(x+3)²)=1/(x+3)
Вас заинтересует