Помогите, объясните задачку, как составить уравнение. 8класс
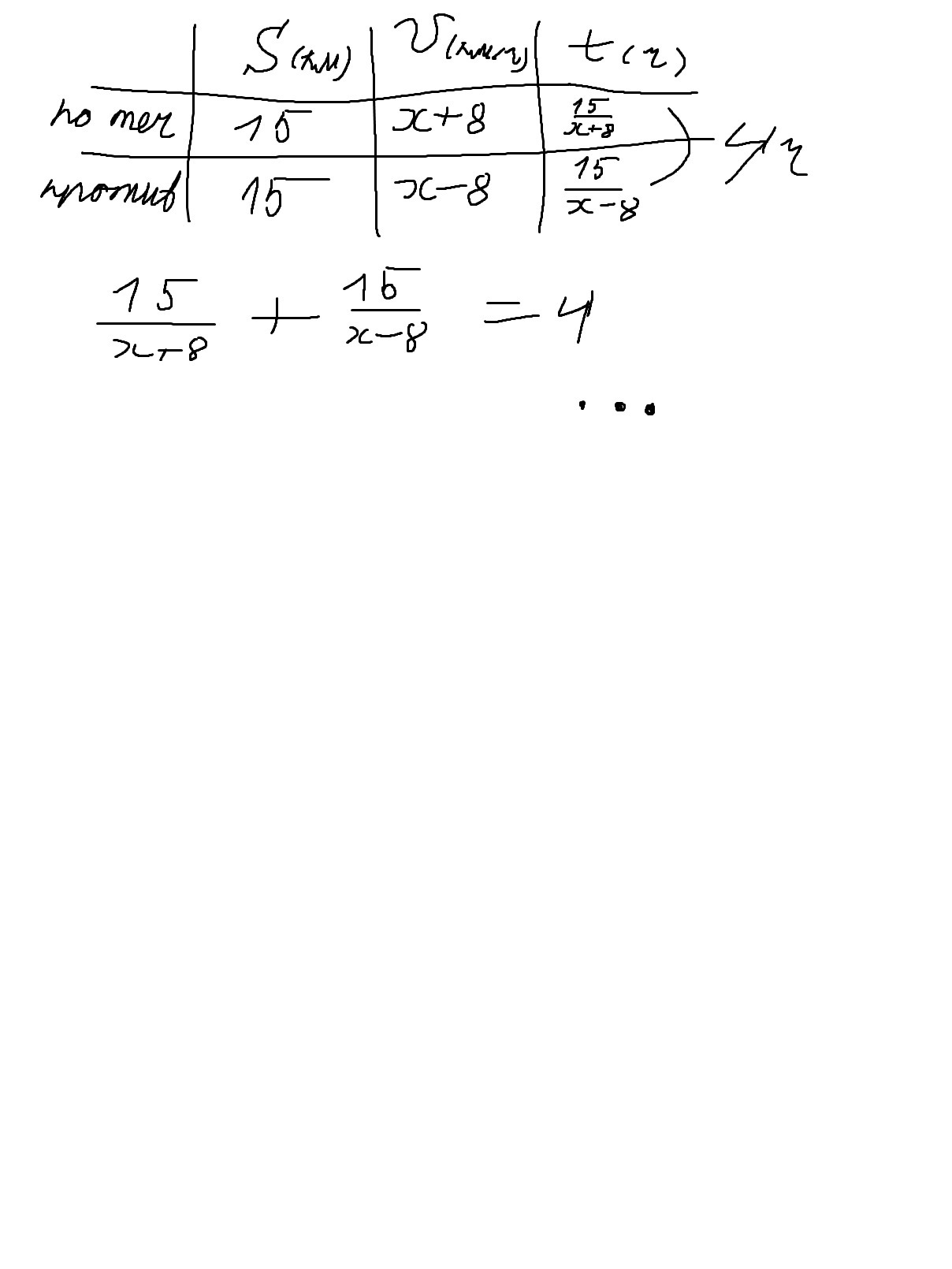
Катер, собственная скорость которого 8 км/ч, прошел по реке расстояние равное 15 км по течению и такое же расстояние против течения. Найди скорость течения реки, если время, затраченное на весь путь, равно 4 часа.
Решение не важно, главное объясните пожалуйста, завтра переводная к.р., пытаюсь готовиться, но не очень понимаю..
Ответы
Ответ дал:
0
В таблицу записывай известное и думай что принимать за переменную
Приложения:

Вас заинтересует
2 года назад
7 лет назад
7 лет назад
9 лет назад
9 лет назад
10 лет назад