• Предмет: Математика
  • Автор: donanna
  • Вопрос задан 10 лет назад

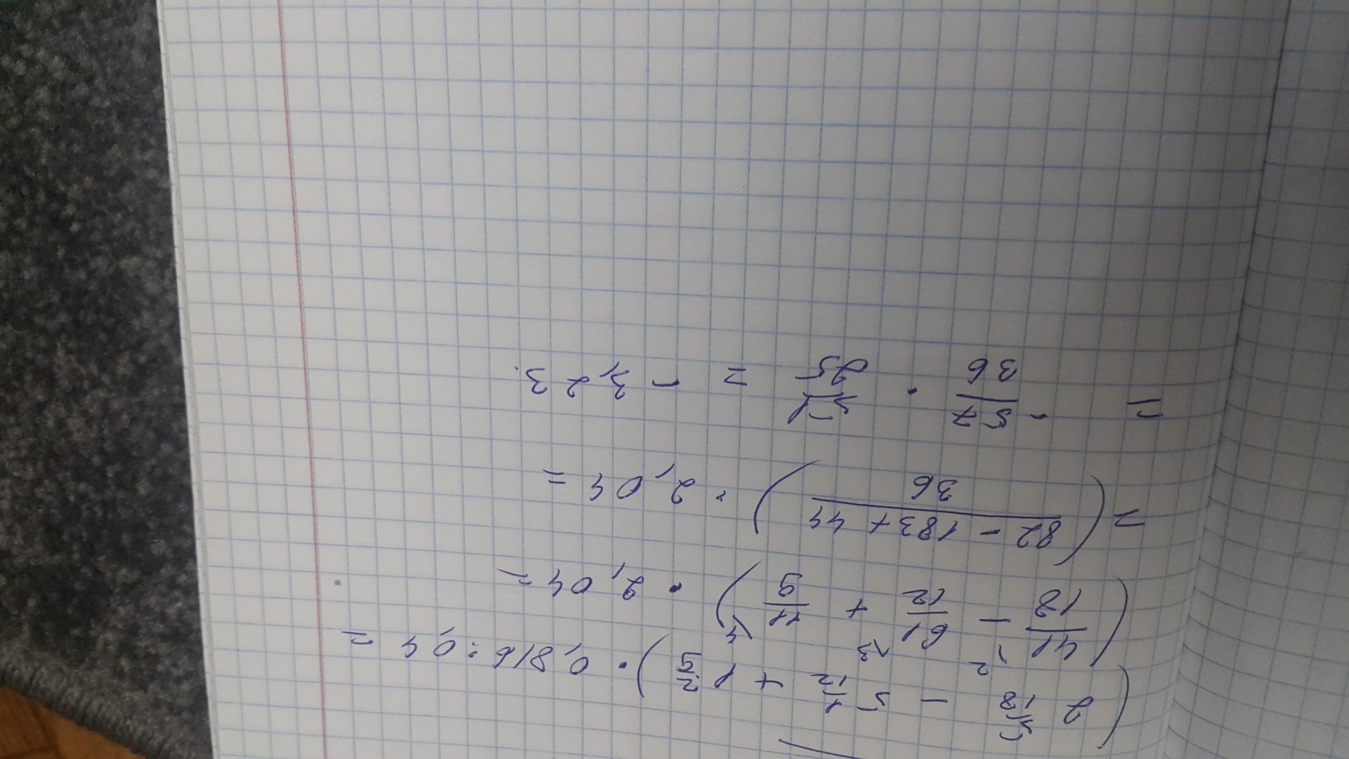
(2 целых 5/18 - 5 целых 1/12 +1 целая 2/9)*(0,816:0,4)

Ответы

Ответ дал: yukeet
0
вот ........................
Приложения:
Ответ дал: donanna
0
а почему 36 а не 39
Ответ дал: yukeet
0
Потому что 39 не делится на 9 , 12 и 18. Поэтому 36 общий знаменатель
Вас заинтересует