• Предмет: Математика
  • Автор: AK34
  • Вопрос задан 10 лет назад

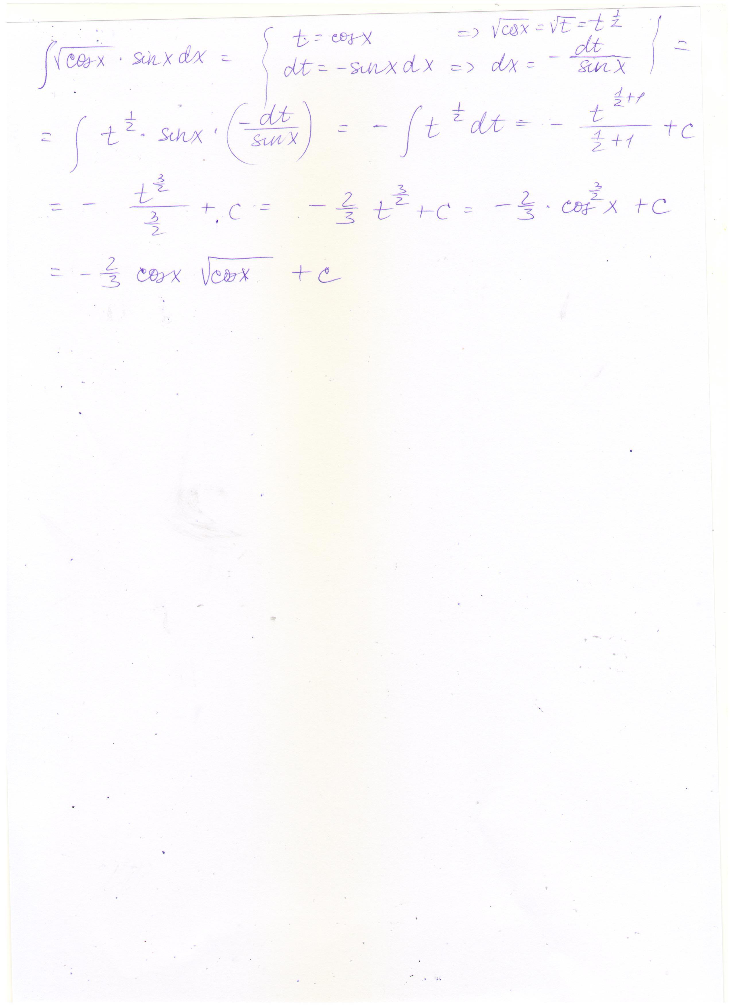
Найти неопределенный интеграл методом подстановки √cosx*sinxdx

Ответы

Ответ дал: alfabetta
0
смотри приложенный файл
Приложения:
Вас заинтересует