• Предмет: Алгебра
  • Автор: mxd
  • Вопрос задан 11 лет назад

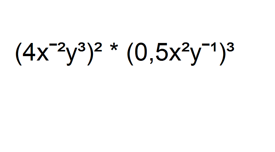
Упростить выражение. См. вложение.

 

Приложения:

Ответы

Ответ дал: Yena
0

4²x⁻⁴y⁶*0,5³x⁶y⁻³=16x²y³*1/8=2x²y³

Вас заинтересует