• Предмет: Алгебра
  • Автор: Аноним
  • Вопрос задан 10 лет назад

Решите пожалуйста задания! Мне очень надо! За ранее огромное вам спасибо!)

Приложения:

Ответы

Ответ дал: SolRu
0
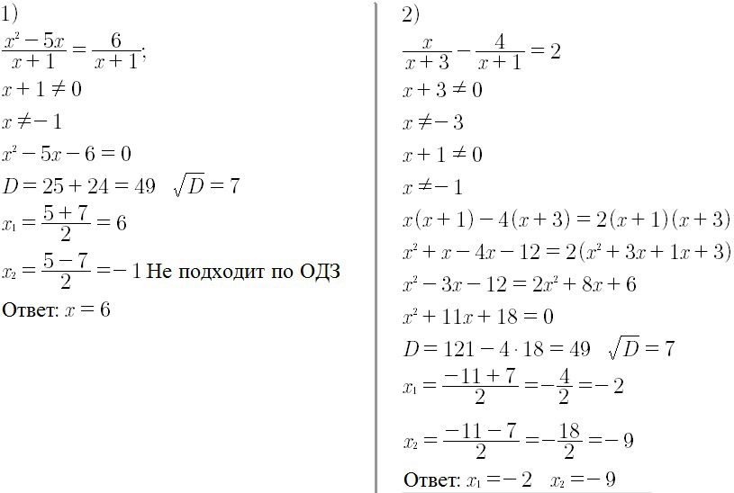
Решение смотрите в вложении
Приложения:
Ответ дал: Аноним
0
Спасибо большое!)
Ответ дал: Аноним
0
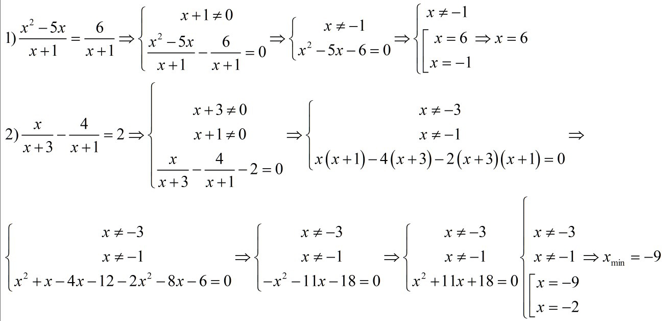
решение смотри во вложении
Приложения:
Ответ дал: Аноним
0
Спасибо большое!)
Вас заинтересует