• Предмет: Математика
  • Автор: SemenukSofia
  • Вопрос задан 10 лет назад

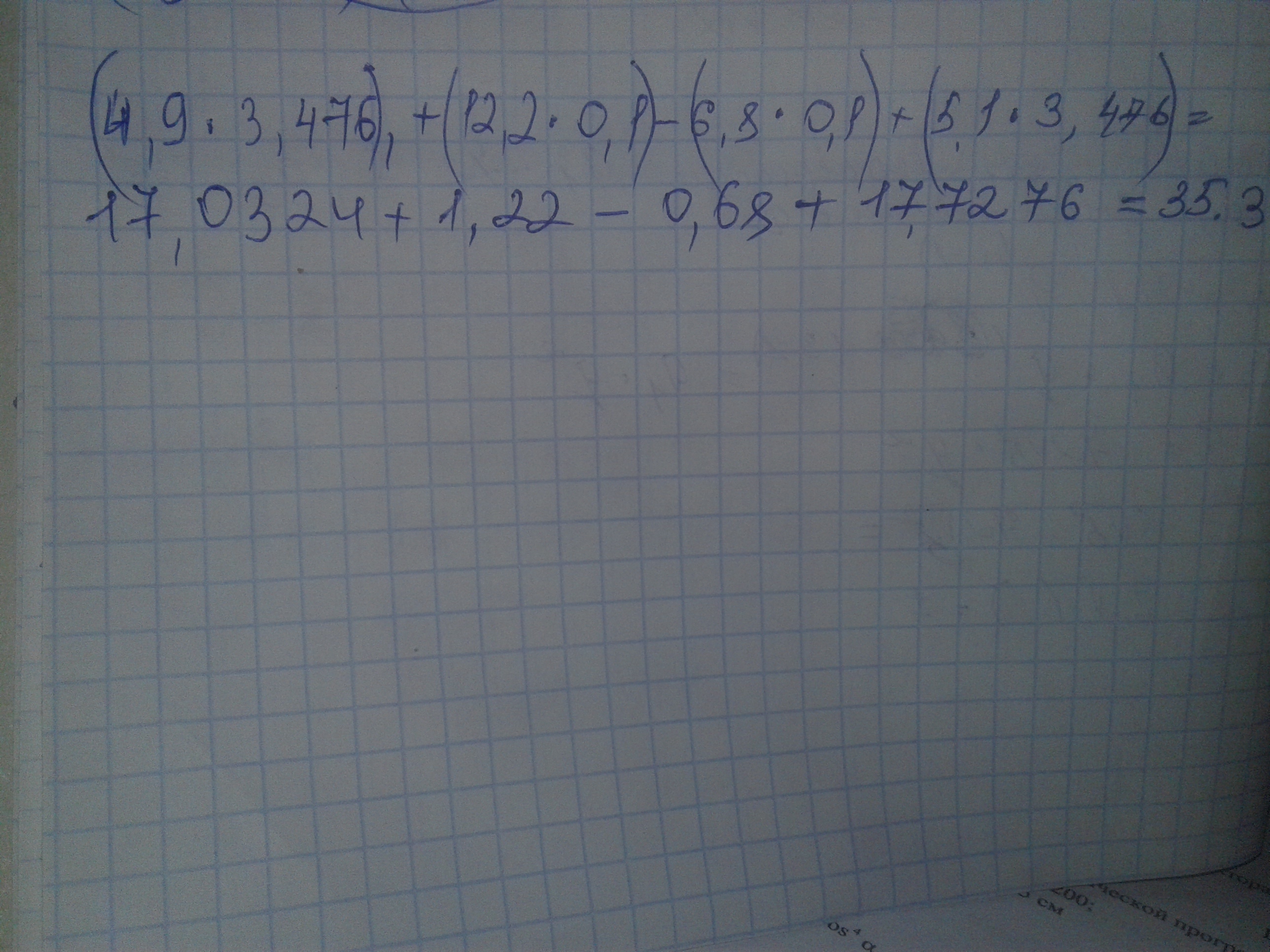
найдите значение выражения 4,9х + 12,2у - 6,8у + 5,1х при х=3,476, у=0,1.

Ответы

Ответ дал: jimin21
0
4,9x+12,2y-6,8y+5,1x=10x+5,4y=10*3,476+5,4*0,1=34,76+0,54=35,3
Ответ дал: AlinkaiImir
0
вот так вот)))))))))
Приложения:
Вас заинтересует