Ответы
Ответ дал:
0
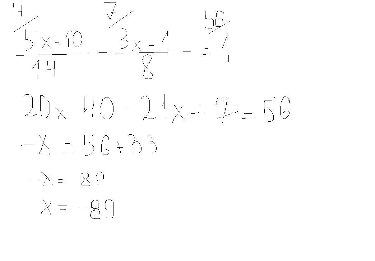
-x=56+33 -x=89 Ответ: x = - 89
Приложения:

Вас заинтересует
2 года назад
2 года назад
7 лет назад
9 лет назад
10 лет назад