Ответы
Ответ дал:
0
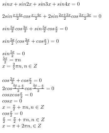
Вот,держи)надеюсь,что все правильно)
Приложения:

Вас заинтересует
2 года назад
2 года назад
7 лет назад
7 лет назад
9 лет назад
10 лет назад