• Предмет: Алгебра
  • Автор: chervakovavika
  • Вопрос задан 10 лет назад

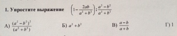
Помогите упростить выражение,прошу.....
Смотрите саму фотку...

Приложения:

Ответы

Ответ дал: Енотик14545
0
Надеюсь, что хорошо видно с:
Приложения:
Ответ дал: chervakovavika
0
Да,спасибо огромное.
Вас заинтересует