Ответы
Ответ дал:
0
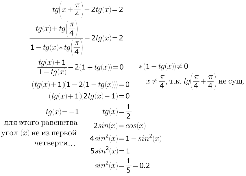
использована формула: тангенс суммы))
получилось квадратное уравнение относительно тангенса...
один из корней не подошел по условию...
осталось возвести обе части равенства в квадрат)))
получилось квадратное уравнение относительно тангенса...
один из корней не подошел по условию...
осталось возвести обе части равенства в квадрат)))
Приложения:
Ответ дал:
0
Спасибо большое!!!!!
Ответ дал:
0
на здоровье!!
Вас заинтересует
2 года назад
2 года назад
8 лет назад
10 лет назад
10 лет назад
10 лет назад