• Предмет: Алгебра
  • Автор: АнонХикк
  • Вопрос задан 11 лет назад

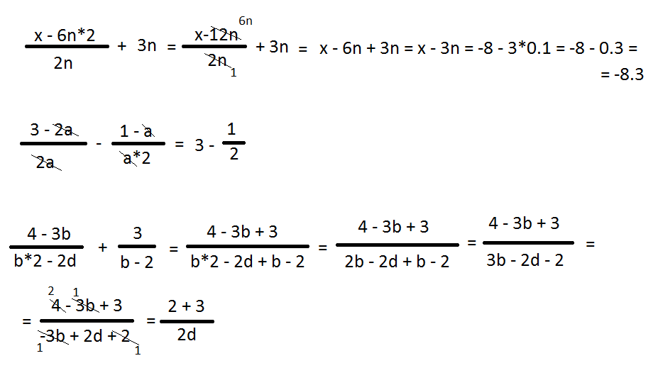
Найдите значение выражения^

х-6n*2+3n при x=-8,n=0,1

2n

Упростите^

3-2а-1-а

 2а    а*2

4-3b3

b*2-2d  b-2

 

 

                                      

Ответы

Ответ дал: Нюта2202
0

Мозг немножко спит, по этому прошу прощения если не так поняла задание :D

Приложения:
Вас заинтересует