• Предмет: Алгебра
  • Автор: Zverobelka
  • Вопрос задан 10 лет назад

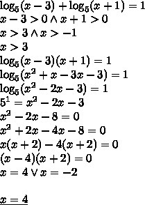
решите неравенство: log5(x+3)+log5(x+1)

Ответы

Ответ дал: Vicktoria2000
0
Вроде бы как то так)))))
Приложения:
Вас заинтересует