• Предмет: Алгебра
  • Автор: yrok601
  • Вопрос задан 10 лет назад

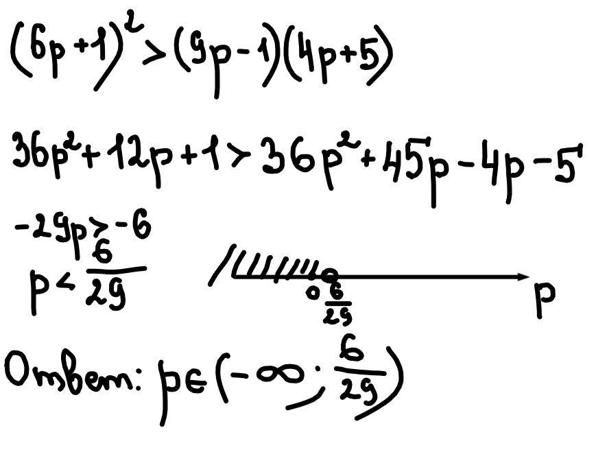
решить (6р+1)^2>(9р-1) . (4р+5)

Ответы

Ответ дал: oOlDarknesslOo
0
Наибольшее целое число: 0
(Решение на рисунке)
Приложения:
Вас заинтересует