• Предмет: Алгебра
  • Автор: ДимаLOST
  • Вопрос задан 10 лет назад

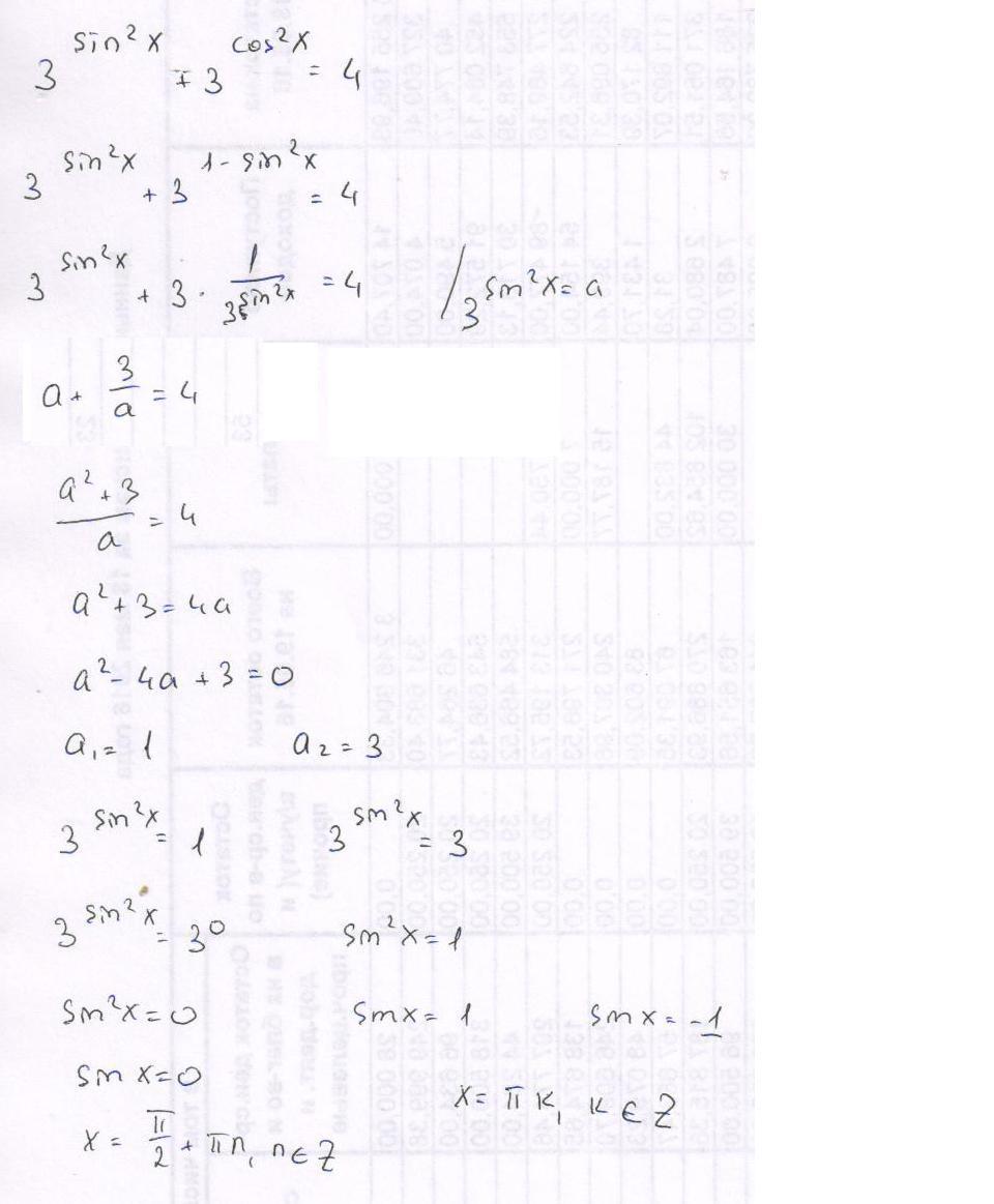
Пожаааалуйста, помогите с примером. Даю 35 баллов

Приложения:

Ответы

Ответ дал: ewgenijbark
0
см. вложение
\\\\\\\\\
Приложения:
Вас заинтересует