Ответы
Ответ дал:
0
это же легко очень, это изи))
Приложения:

Ответ дал:
0
Можешь и с остальными помочь?
Ответ дал:
0
какие именно?
Ответ дал:
0
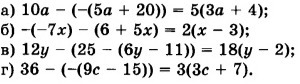
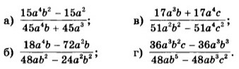
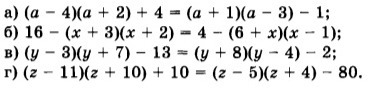
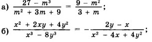
Которые выше у меня в вопросе указаны
Вас заинтересует
2 года назад
2 года назад
7 лет назад
7 лет назад
9 лет назад
9 лет назад