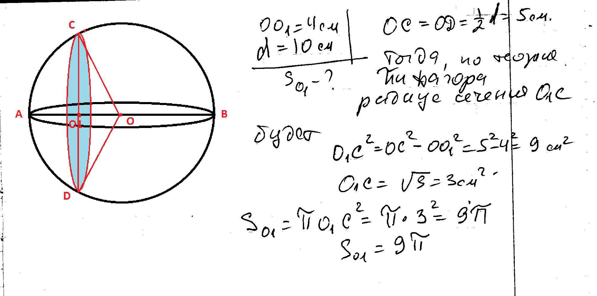
Вычислите площадь сечения шара плоскостью, отстоящей от центра шара на расстоянии 4 см, если диаметр шара 10 см
Ответы
Ответ дал:
0
решение в скане.......................
Приложения:

Вас заинтересует
2 года назад
2 года назад
7 лет назад
9 лет назад
9 лет назад