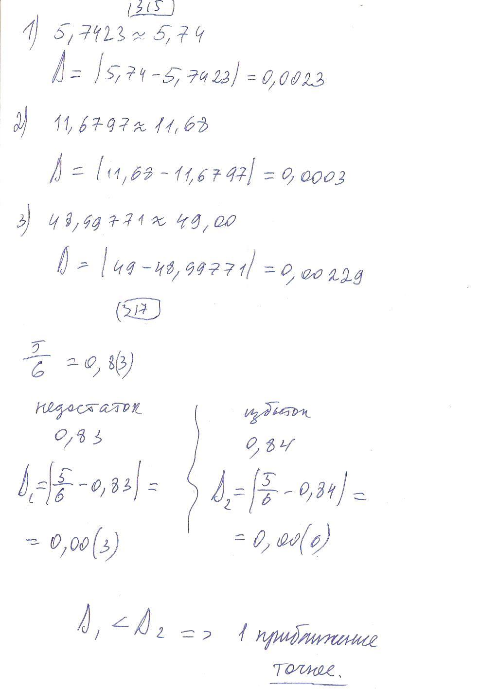
Пожалуйста решите моё задание по алгебре номер 315 и 317 в 3 вложении продолжение 317-го номера . ПОЖАЛУЙСТА РЕШИТЕ СРОЧНО ЭТИ НОМЕРА!!!!!
Приложения:
Ответы
Ответ дал:
0
надеюсь будет понятно.....
Приложения:
Вас заинтересует
3 года назад
3 года назад
8 лет назад
8 лет назад
11 лет назад
11 лет назад
11 лет назад