• Предмет: Математика
  • Автор: Neffertyty1999
  • Вопрос задан 10 лет назад

Срочно!!!
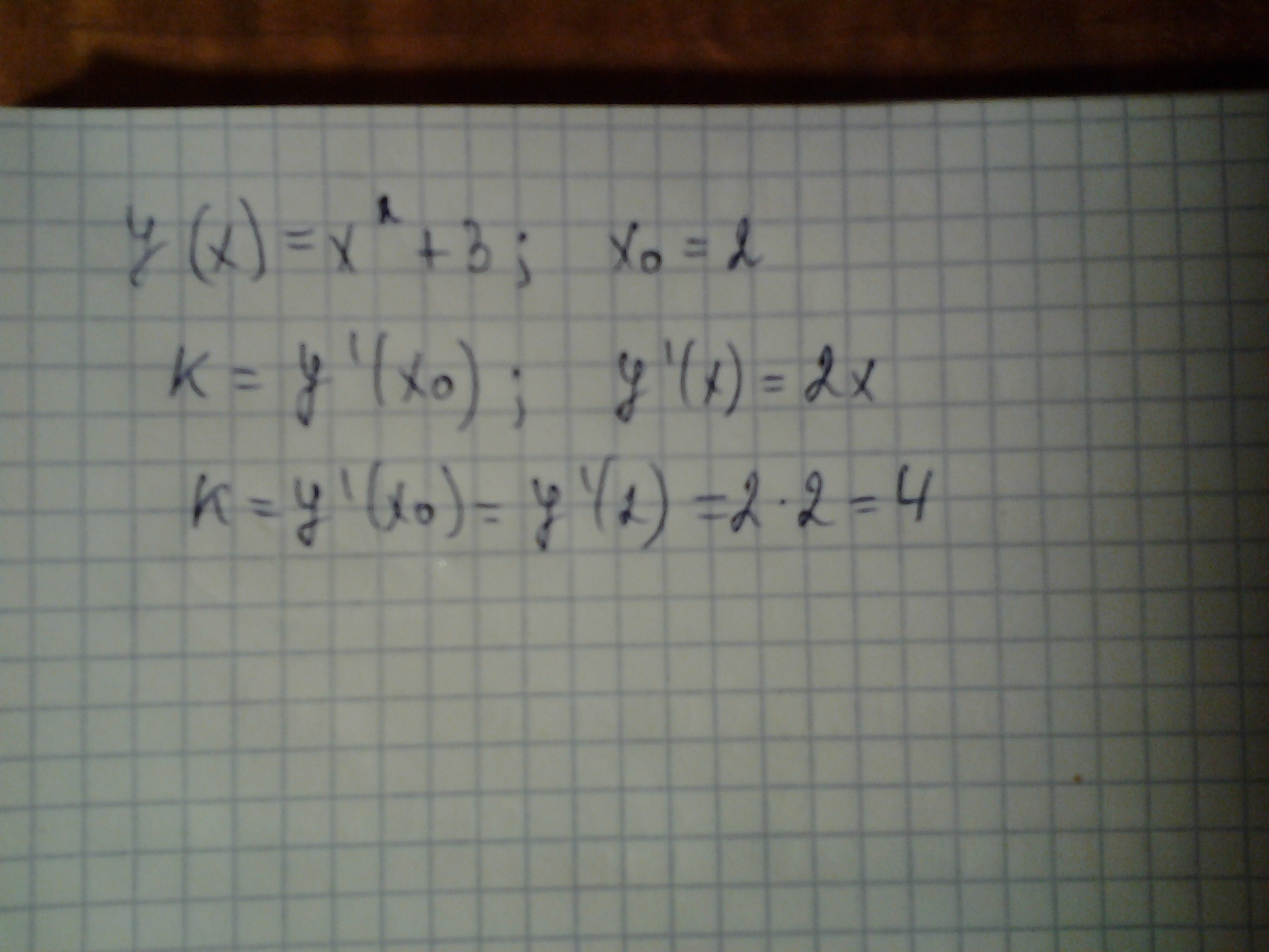
определите угловой коэффициент касательной к графику функции y(x) в точке с абцисой x0 если y=x2+3 x0=2

Ответы

Ответ дал: okneret
0
Применена формула углового коэффициента касательной
Приложения:
Вас заинтересует