Ответы
Ответ дал:
0
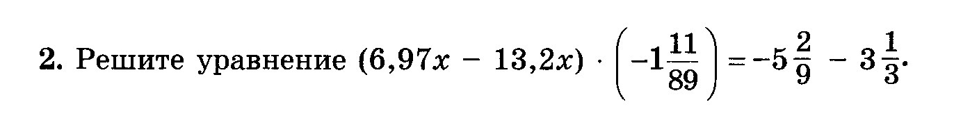
(6,97х-13,2х) * (-1 11/89) = -5 2/9 -3 1/3
(-6,23х) * (-100/89) = -5 2/9 -3 3/9
(-623/100 х) * (-100/89) = -8 5/9
7х = -77/9
х= - 77/9 : 7
х= -11/9
х= -1 2/9
(-6,23х) * (-100/89) = -5 2/9 -3 3/9
(-623/100 х) * (-100/89) = -8 5/9
7х = -77/9
х= - 77/9 : 7
х= -11/9
х= -1 2/9
Ответ дал:
0
Для удобства переведём десятичные дроби в обыкновенные
((697/100)x-(1320/100)x)*(-100/89)=(-47/9)-(10/3)
(-623/100)x*(-100/89)=(-47/9)-(30/9)
7x=-77/9
x=(-77/9):7=-11/9=-1(2/9)
((697/100)x-(1320/100)x)*(-100/89)=(-47/9)-(10/3)
(-623/100)x*(-100/89)=(-47/9)-(30/9)
7x=-77/9
x=(-77/9):7=-11/9=-1(2/9)
Вас заинтересует
2 года назад
2 года назад
8 лет назад
8 лет назад
10 лет назад