• Предмет: Алгебра
  • Автор: xjufsshk
  • Вопрос задан 10 лет назад

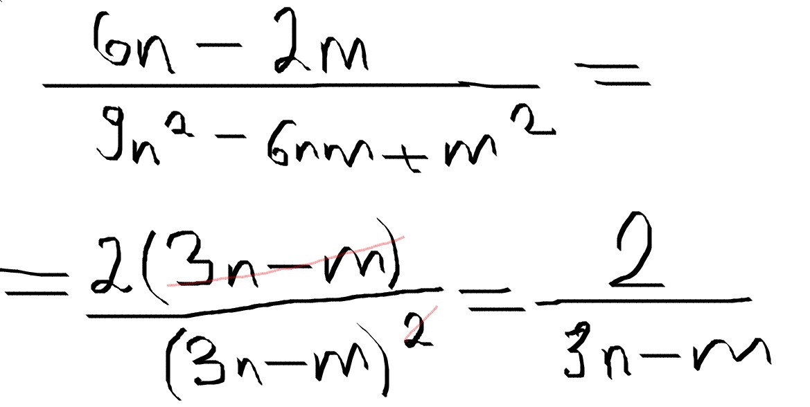
сократите дробь 6n-2m/9n²-6nm+m²

Ответы

Ответ дал: No03
0
решение на фото......
Приложения:
Ответ дал: Kssskina001
0
2(3n-m)/3n-m сокращается, остается2
Приложения:
Вас заинтересует