Ответы
Ответ дал:
0
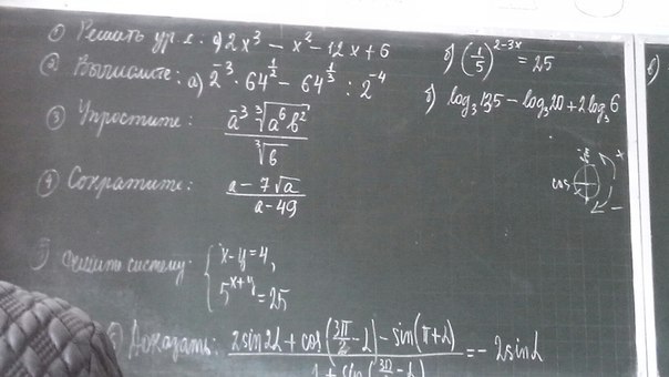
4) а^1/2(а^1/2-7)/(а^1/2-7)*(а^1/2+7)
а^1/2 /(а^1/2+7)
5) 5^4+2y=5^2
y=-1
2) 8/8-4*2^4
1-16=-15
P.s. Сделал все, что успел.
а^1/2 /(а^1/2+7)
5) 5^4+2y=5^2
y=-1
2) 8/8-4*2^4
1-16=-15
P.s. Сделал все, что успел.
Ответ дал:
0
а еще
Ответ дал:
0
1) a) Я понял, что уравнение равно 0
а) 2x*(x^2-6)-1(x^2-6)=0
(2x-1)*(x^2-6)=0
2x-1=0 или x^2-6=0
x=1/2 или x=+-6^1/2
б) 5^3x-2=5^2
3x-2=2
x=4/3
3)(a^-3*a^2*b^2/3)/b^1/3=(b^1/3)/a
6) не понял условие
2) b) не знаю
а) 2x*(x^2-6)-1(x^2-6)=0
(2x-1)*(x^2-6)=0
2x-1=0 или x^2-6=0
x=1/2 или x=+-6^1/2
б) 5^3x-2=5^2
3x-2=2
x=4/3
3)(a^-3*a^2*b^2/3)/b^1/3=(b^1/3)/a
6) не понял условие
2) b) не знаю
Ответ дал:
0
6) наверно так
(2sin2A-sinA+sinA)/1-cosA=-2sinA
2sin2A=-2sinA+2sinA*cosA
4sinA*cosA=(-1+cosA)2sinA
cosA=-1
(2sin2A-sinA+sinA)/1-cosA=-2sinA
2sin2A=-2sinA+2sinA*cosA
4sinA*cosA=(-1+cosA)2sinA
cosA=-1
Вас заинтересует
2 года назад
2 года назад
8 лет назад
8 лет назад
10 лет назад