Ответы
Ответ дал:
0
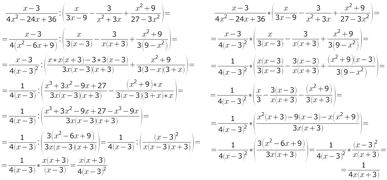
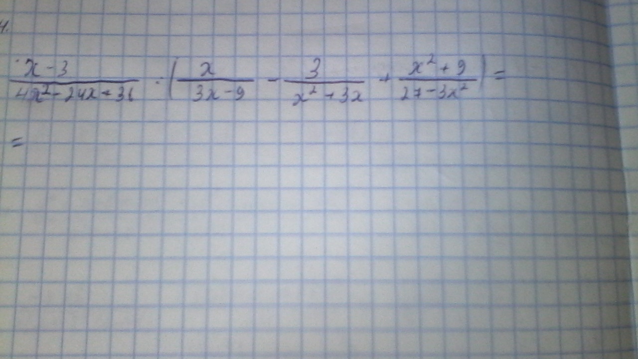
не очень люблю от руки написанные примеры ---знаки плохо видно)))
и в учебниках бывают опечатки, а тут уж тем более...
скорее всего там умножение...
нарисовала два варианта...
и в учебниках бывают опечатки, а тут уж тем более...
скорее всего там умножение...
нарисовала два варианта...
Приложения:

Ответ дал:
0
\\\\\\\\\\\\\\
Приложения:

Ответ дал:
0
тройки ведь сократились))) там икс в числителе остался...
Вас заинтересует
2 года назад
2 года назад
7 лет назад
10 лет назад
10 лет назад