• Предмет: Алгебра
  • Автор: vhcjllffjf
  • Вопрос задан 10 лет назад

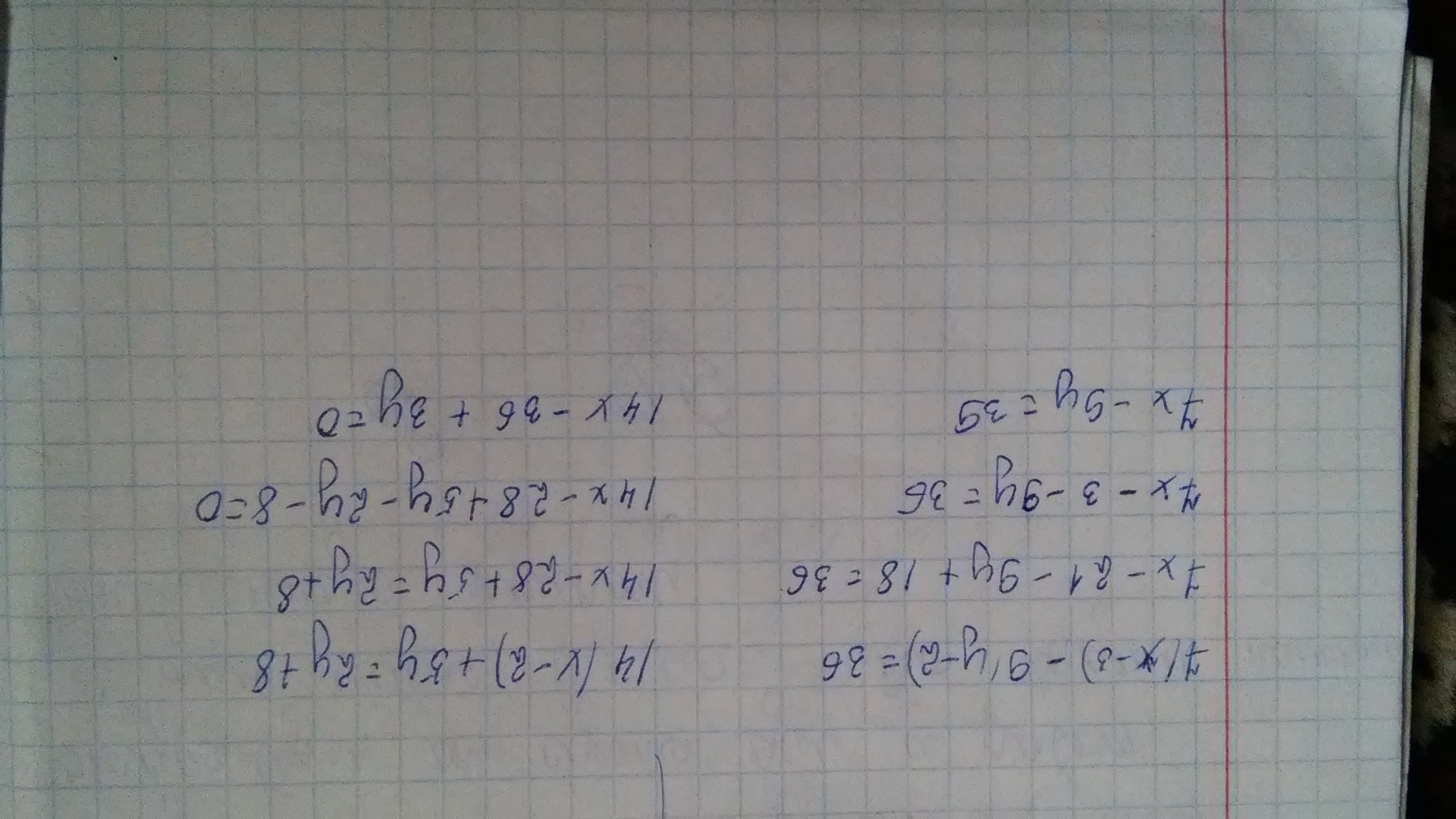
СРОЧНО ПОЖАЛУЙСТА 7(х-3)-9(у-2)=36
14(х-2)+5у=2у+8

Ответы

Ответ дал: LunaKaido
0
не знаю правильно или нет.
Приложения:
Ответ дал: vhcjllffjf
0
А можешь это как систему уравнений решить
Вас заинтересует