Ответы
Ответ дал:
0
Задача решается системой
Приложения:

Ответ дал:
0
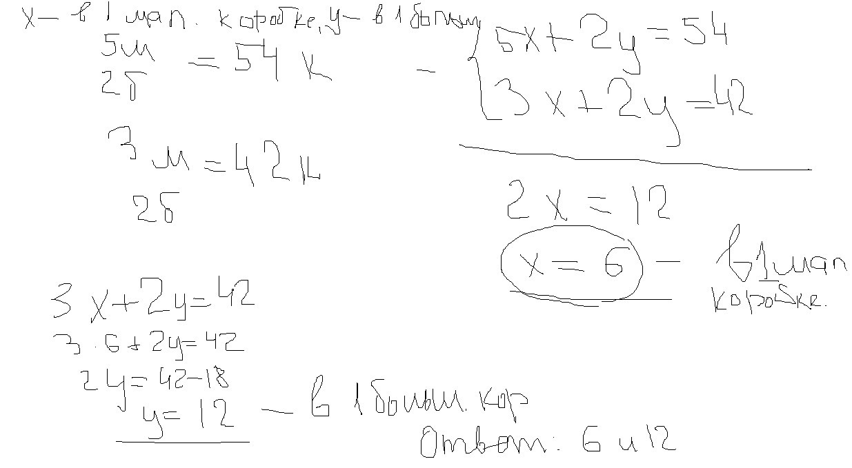
Пусть в маленькой коробке - х карандашей, а большой - у.
Тогда 5х+2у=54 и 3х+2у=42
Получаем систему уравнений:
5х+2у=54
3х+2у=42
5х+2у=54
2у=42-3х
5х+(42-3х)=54
2у=42-3х
5х+42-3х=54
2у=42-3х
5х-3х=54-42
2у=42-3х
2х=12
2у=42-3х
х=6
2у=42-3*6
х=6
2у=42-18
х=6
у=24/2
х=6
у=12
Тогда 5х+2у=54 и 3х+2у=42
Получаем систему уравнений:
5х+2у=54
3х+2у=42
5х+2у=54
2у=42-3х
5х+(42-3х)=54
2у=42-3х
5х+42-3х=54
2у=42-3х
5х-3х=54-42
2у=42-3х
2х=12
2у=42-3х
х=6
2у=42-3*6
х=6
2у=42-18
х=6
у=24/2
х=6
у=12
Приложения:

Вас заинтересует
2 года назад
2 года назад
7 лет назад
9 лет назад
10 лет назад
10 лет назад