• Предмет: Алгебра
  • Автор: ягодка38
  • Вопрос задан 10 лет назад

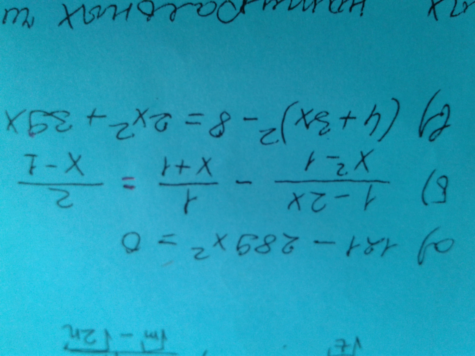
решите уравнение. алгебра 8класс

Приложения:

Ответы

Ответ дал: sfszwfare144s
0
Под б) 1/2+3/1=3/6 X=3/1-1/2 X=3/6 Под в) 22/5-21/7=45 x=21/7-22/5 X=45
Вас заинтересует